Beranda
/ Contoh Soal Ketidakpastian Heisenberg : 2 : Mungkin dari kalian ada yang tidak mengenal sosok ilmuwan ini karena kalian bukan menggeluti atau mendalami ilmu fisika dan kimia.
Contoh Soal Ketidakpastian Heisenberg : 2 : Mungkin dari kalian ada yang tidak mengenal sosok ilmuwan ini karena kalian bukan menggeluti atau mendalami ilmu fisika dan kimia.
Contoh Soal Ketidakpastian Heisenberg : 2 : Mungkin dari kalian ada yang tidak mengenal sosok ilmuwan ini karena kalian bukan menggeluti atau mendalami ilmu fisika dan kimia.. Misalnya, disertasi doktornya mengenai mekanika gelombang, yang diselesaikannya dalam usia 25 tahun. Penulis akan bercerita sebuah fakta sederhana yang menjadi salah satu fondasi dari lahirnya sebuah revolusi di fisika yang dibawa oleh mekanika kuantum ( quantum mechanics ). Gunakan prinsip ketidakpastian untuk memperkirakan energi elektron yang dapat dimiliki oleh atom! Werner heisenberg dan prinsip ketidakpastian (bagian 1) pada kesempatan ini penulis membahas kembali seorang ilmuwan yang terkenal pada zamannya dan sampai saat ini eksistensinya masih terus dibicarakan. Perkirakan ketidakpastian kecepatan pada kondisi ini.
Penulis akan bercerita sebuah fakta sederhana yang menjadi salah satu fondasi dari lahirnya sebuah revolusi di fisika yang dibawa oleh mekanika kuantum ( quantum mechanics ). Kemudian alat digunakan untuk mengukur tegangan yang lebih besar dihasilkan v2 = (20,00 ± 0,05) volt. Prinsip ini dicetuskan oleh ilmuwan jerman bernama werner heisenberg pada tahun 1927. Sebagai contoh, pada pengukuran tegangan dengan voltmeter dihasilkan v1 = (5,00 ± 0,05) volt. Mungkin dari kalian ada yang tidak mengenal sosok ilmuwan ini karena kalian bukan menggeluti atau mendalami ilmu fisika dan kimia.
Ketidakpastian Heisenberg from image.slidesharecdn.com Hal itu dapat diperkirakan dengan mengambil contoh yang konkrit. Hubungan ini disebut dengan prinsip ketidakpastian heisenberg. Di tingkat mikroskopis, prinsip ketakpastian heisenberg menjadi tidak relevan. Kemudian alat digunakan untuk mengukur tegangan yang lebih besar dihasilkan v2 = (20,00 ± 0,05) volt. Sebagai contoh, pada pengukuran tegangan dengan voltmeter dihasilkan v1 = (5,00 ± 0,05) volt. Jika nilai posisi elektron diketahui dengan tingkat akurasi yang tinggi, maka nilai momentum elektron elektron akan tidak pasti, dan sebaliknya. Fakta ini terkenal dengan sebutan ketidakpastian heisenberg, yang pertama kali diformulasikan. Misalnya, disertasi doktornya mengenai mekanika gelombang, yang diselesaikannya dalam usia 25 tahun.
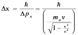
Tentukanlah nilai kemungkinan terkecil posisi ketidakpastian dari elektron yang bergerak dengan kecepatan 3 x 10 7 m/s, jika nilai m.
Ukuran sebuah persegi panjang adalah 2 ± 0, 1 cm dan 10 ± 0, 5 cm, maka ketidak pastian luasnya adalah. <br />jadi, jika nilai posisi elektron diketahui dengan tingkat akurasi yang tinggi, maka nilai momentum elektron akan tidak pasti, dan sebaliknya.<br /> 5. Dia hidup bersama isteri dan tujuh anak. ฮl = (ฮดx x + ฮดy y)l ฮดl = (0, 1 2 + 0, 5 10) × 20 ฮดl = 0, 1 × 20 ฮดl = 2. Kelemahan model atom yang dikemukakan. Hal ini yang menyebabkan ada ke tidakpastian dalam pengukuran. Jika nilai posisi elektron diketahui dengan tingkat akurasi yang tinggi, maka nilai momentum elektron elektron akan tidak pasti, dan sebaliknya. Perkirakan ketidakpastian kecepatan pada kondisi ini. Folge deiner leidenschaft bei ebay! Prinsip ketidakpastian heisenberg merupakan salah satu konsep dasar dari quantum fisika, dan merupakan dasar untuk realisasi awal ketidakpastian mendasar dalam kemampuan suatu percobaan untuk mengukur lebih dari satu variabel kuantum pada suatu waktu. Prinsip ketidakpastian heisenberg pada tahun 1927 seorang ilmuwan jerman bernama werner heisenberg mengemukakan suatu prinsip ketidakpastian yang menyatakan bahwa adalah (hampir) tidak mungkin untuk mengukur dua besaran secara bersamaan, misalnya posisi dan momentum suatu partikel. Contoh soal fisika ketidakpastian pengukuran. Ketidakpastian heisenberg dan dilema elektron:
Prinsip ketidakpastian heisenberg untuk energi menyatakan bahwa. Werner heisenberg dan prinsip ketidakpastian (bagian 1) pada kesempatan ini penulis membahas kembali seorang ilmuwan yang terkenal pada zamannya dan sampai saat ini eksistensinya masih terus dibicarakan. Ketidakpastian bukan lagi bergantung dari ketelitian alat, akan tetapi merupakan sesuatu yang fundamental, sesuatu yang hakiki dengan dunia fisika pada tingkat atom. Folge deiner leidenschaft bei ebay! Kelemahan model atom yang dikemukakan.
Ketidakpastian Heisenberg Dan Dilema Elektron Partikel Atau Gelombang from majalah1000guru.net Kelemahan model atom yang dikemukakan. Prinsip ini dicetuskan oleh ilmuwan jerman bernama werner heisenberg pada tahun 1927. Di tingkat mikroskopis, prinsip ketakpastian heisenberg menjadi tidak relevan. Kita lihat untuk kedua hasil, maka ketidakpastian mutlak adalah sama yaitu ∆ =v 0,05 volt. Ukuran sebuah persegi panjang adalah 2 ± 0, 1 cm dan 10 ± 0, 5 cm, maka ketidak pastian luasnya adalah. Rizknareeedh ♦ 30 mei 2012 ♦ tinggalkan komentar. Anda di halaman 1 dari 28. Teori fisika utama teori mekanika klasik dapat menjelaskan pergerakan benda dengan tepat.
Jika nilai posisi elektron diketahui dengan tingkat akurasi yang tinggi, maka nilai momentum elektron elektron akan tidak pasti, dan sebaliknya.
Sampai fajar mekanika kuantum, itu dianggap sebagai fakta bahwa semua variabel suatu objek dapat diketahui presisi tepat secara bersamaan untuk saat tertentu. Kalau kebetulan kamu ingin belajar tentang materi ini lebih dalam simak penjelasan lengkapnya berikut. Asas ketidakpastian heisenberg dan persamaan schrodinger a. Hubungan ini disebut dengan prinsip ketidakpastian heisenberg. ฮ e ฮด t ≥ โ 2. Heisenberg meninggal 1 februari 1976 (umur 74) di munich, bavaria, jerman barat. Prinsip ketidakpastian heisenberg menyatakan bahwa adalah (hampir) tidak mungkin untuk mengukur dua besaran secara bersamaan, misalnya posisi dan momentum suatu partikel. Contoh soal fisika ketidakpastian pengukuran. ฮ = h/p rumus panjang gelombang de broglie, dimana h adalah tetapan planck yang memiliki nilai yang sangat kecil yaitu maka hanya partikel yang berukuran atom/inti atom yang perilaku gelombangnya dapat teramati. Prinsip ketidakpastian heisenberg pada tahun 1927 seorang ilmuwan jerman bernama werner heisenberg mengemukakan suatu prinsip ketidakpastian yang menyatakan bahwa adalah (hampir) tidak mungkin untuk mengukur dua besaran secara bersamaan, misalnya posisi dan momentum suatu partikel. Selain dari teori ketidakpastian ini, heisenberg juga berjasa banyak bagi perkembangan teori kuantum. Prinsip ketidakpastian heisenberg merupakan fondasi dasar dari ilmu fisika kuantum yang menjadi ciri khas fisika kuantum dengan fisika klasik. Besaran yang menjadi dasar untuk menetapkan besaran.
Jika nilai posisi elektron diketahui dengan tingkat akurasi yang tinggi, maka nilai momentum elektron elektron akan tidak pasti, dan sebaliknya. Prinsip ketidakpastian heisenberg memberikan batasan dimana tidak adanya hasil pengukuran mutlak dalam setiap pengukuran kuantum. Werner heisenberg dan prinsip ketidakpastian (bagian 1) pada kesempatan ini penulis membahas kembali seorang ilmuwan yang terkenal pada zamannya dan sampai saat ini eksistensinya masih terus dibicarakan. Kita lihat untuk kedua hasil, maka ketidakpastian mutlak adalah sama yaitu ∆ =v 0,05 volt. <br />jadi, jika nilai posisi elektron diketahui dengan tingkat akurasi yang tinggi, maka nilai momentum elektron akan tidak pasti, dan sebaliknya.<br /> 5.
Ketidakpastian Dan Pengukuran Praktikum Fisika 2 Dengan Pengertian Ini Maka Dalam Mengukur Tegangan Sebuah Alat Ukur Dikatakan Presisi Precision Pdf Document from demo.dokumen.tech Prinsip ketidakpastian heisenberg untuk energi menyatakan bahwa. Hubungan ini disebut dengan prinsip ketidakpastian heisenberg. Prinsip ketidakpastian heisenberg memberikan batasan dimana tidak adanya hasil pengukuran mutlak dalam setiap pengukuran kuantum. Kalau kebetulan kamu ingin belajar tentang materi ini lebih dalam simak penjelasan lengkapnya berikut. Teori fisika utama teori mekanika klasik dapat menjelaskan pergerakan benda dengan tepat. Walau demikian, kita akan membahas penemuan brilian heisenberg yang lain, yakni prinsip ketidakpastian, yang dipublikasikan pada tahun 1927. Jadi luas persegi panjang dapat dituliskan sebagai l = (20 ± 2)cm2. ฮ = h/p rumus panjang gelombang de broglie, dimana h adalah tetapan planck yang memiliki nilai yang sangat kecil yaitu maka hanya partikel yang berukuran atom/inti atom yang perilaku gelombangnya dapat teramati.
ฮ e ฮด t ≥ โ 2.
Di tingkat mikroskopis, prinsip ketakpastian heisenberg menjadi tidak relevan. Mungkin dari kalian ada yang tidak mengenal sosok ilmuwan ini karena kalian bukan menggeluti atau mendalami ilmu fisika dan kimia. Dalam papernya, heisenberg memperkenalkan ide bahwa adalah tidak mungkin menentukan secara simultan dengan presisi yang luar biasa untuk posisi dan momentum suatu partikel. Di tahun 1925 werner heisenberg mengajukan rumus baru di bidang fisika, suatu rumus yang teramat sangat radikal, jauh berbeda dalam pokok konsep dengan rumus klasik newton. Pendahuluan<br />prinsip ketidakpastian heisenberg memperkenalkan suatu hubungan timbal balik antara posisi dan momentum. Teori fisika utama teori mekanika klasik dapat menjelaskan pergerakan benda dengan tepat. <br />jadi, jika nilai posisi elektron diketahui dengan tingkat akurasi yang tinggi, maka nilai momentum elektron akan tidak pasti, dan sebaliknya.<br /> 5. Hal ini yang menyebabkan ada ke tidakpastian dalam pengukuran. Selain dari teori ketidakpastian ini, heisenberg juga berjasa banyak bagi perkembangan teori kuantum. Prinsip ketidakpastian heisenberg adalah teori fundamental dalam mekanika kuantum yang mendefinisikan mengapa seorang ilmuwan tidak dapat mengukur berbagai variabel kuantum secara bersamaan. Kalau kebetulan kamu ingin belajar tentang materi ini lebih dalam simak penjelasan lengkapnya berikut. Ributhermanto201043118 fisika kuantum untuk universitas. Hubungan ini disebut dengan prinsip ketidakpastian heisenberg.
Berbagi
Posting Komentar
untuk "Contoh Soal Ketidakpastian Heisenberg : 2 : Mungkin dari kalian ada yang tidak mengenal sosok ilmuwan ini karena kalian bukan menggeluti atau mendalami ilmu fisika dan kimia."
Posting Komentar untuk "Contoh Soal Ketidakpastian Heisenberg : 2 : Mungkin dari kalian ada yang tidak mengenal sosok ilmuwan ini karena kalian bukan menggeluti atau mendalami ilmu fisika dan kimia."